伟德国际victor1946亚洲版-源自英国始于1946
首页
|
关于我们
|
新闻动态
|
党建党务
|
中心系室
|
本科生培养
|
公司产品
|
员工工作
|
工会
|
科学研究
|
继续教育
|
下载中心
当前位置:
首页
>>
新闻动态
>>
通知公告
>>
正文
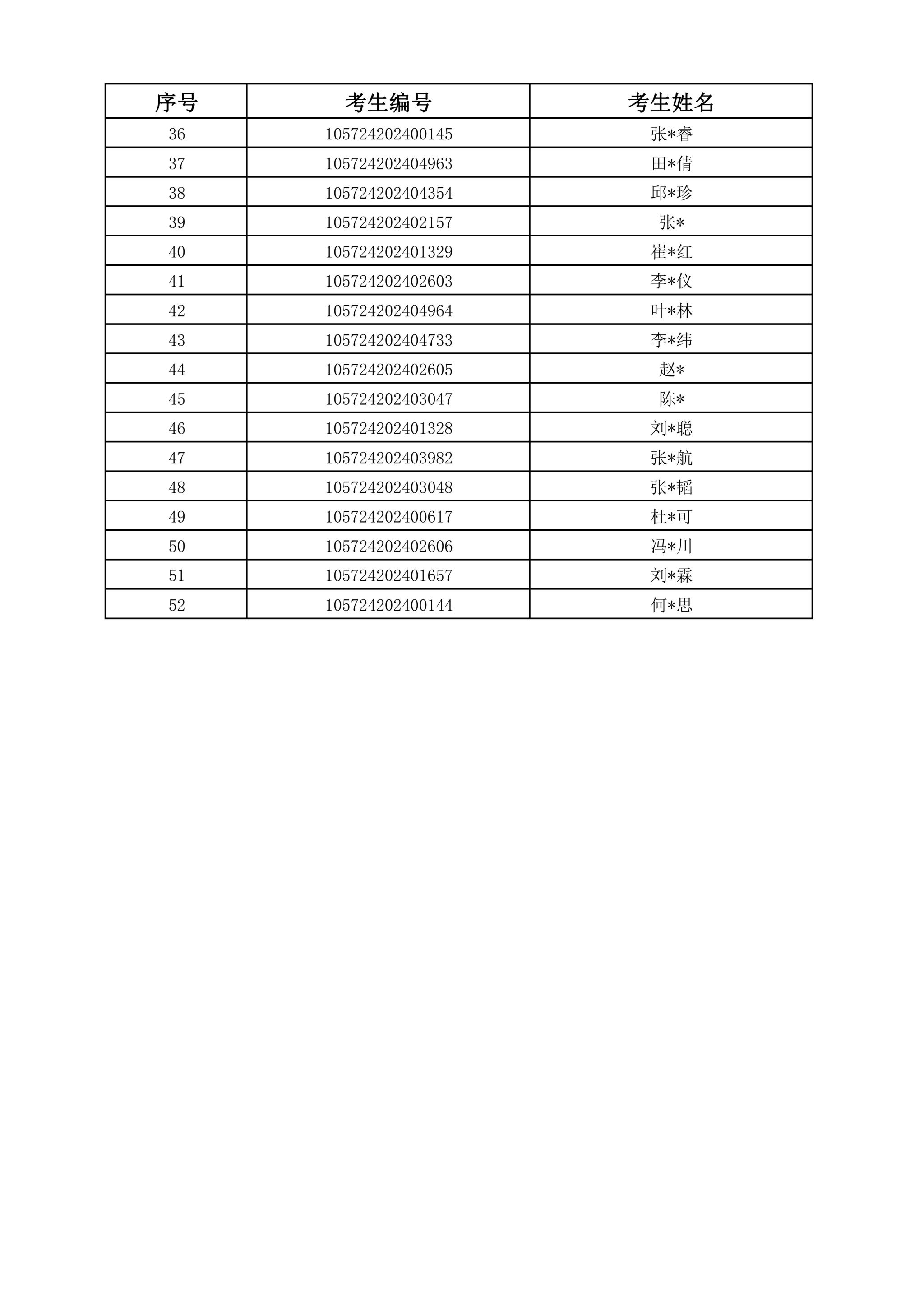
伟德国际1946亚洲版2024年硕士研究生招生复试名单
2024-03-25 09:12
(浏览次数:
)
附件【
20240325伟德国际1946亚洲版2024年硕士研究生招生复试名单.pdf
】
已下载
次
【
关闭窗口
】
版权所有 copyright © 伟德国际victor1946亚洲版-源自英国始于1946